基本信息
- 项目名称:
- 镁铝尖晶石加入量对铁沟料性能的影响
- 来源:
- 第十二届“挑战杯”省赛作品
- 小类:
- 能源化工
- 大类:
- 自然科学类学术论文
- 简介:
- 耐火材料是为高温技术服务的重要基础行业,与钢铁工业的关系尤为密切。高温工业尤其是钢铁冶炼技术的发展,促进了耐火材料工业的技术进步。 在高炉出铁沟用耐火材料中,采用较多的是Al2O3-SiC-C质浇注料。但是,镁铝尖晶石有熔点(2135ºC)高、耐化学腐蚀性强、在常温和高温下机械强度大等优点。为此,将镁铝尖晶石引入铁沟浇注料是近年来国内外研究工作者普遍关注的热点之一。
- 详细介绍:
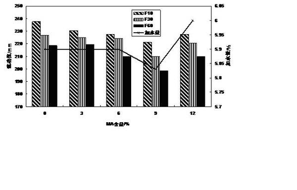
- 随着高炉冶金技术的发展,各种高炉为提高产量采取多种措施强化冶炼工艺,导致出铁沟耐火材料的工作环境日趋恶化,对Al2O3-SiC-C质出铁沟浇注料的使用性能提出了更高的要求。本文以板状刚玉、SiC、SiO2微粉、Alphabond300(ρ-A1203)、金属Si粉和球状沥青为主要原料,研究了镁铝尖晶石粉的加入量对Al2O3-SiC-C质出铁沟浇注料各项物理性能及抗渣性能的影响。 实验结果表明:在所研究的镁铝尖晶石加入量范围内,随着镁铝尖晶石含量的增加,Al2O3-MgAl2O4-SiC-C质铁沟浇注料的流动性变差。镁铝尖晶石加入量的多少对Al2O3-MgAl2O4-SiC-C质铁沟浇注料线变化率,体积密度和显气孔率的影响不是太明显,表现出非常好的体积稳定性。综合考虑各种因素,当镁铝尖晶石加入量为9%时,Al2O3-MgAl2O4-SiC-C质铁沟浇注料的物理性能和抗渣性能最好
作品专业信息
撰写目的和基本思路
- 本实验主要研究镁铝尖晶石加入量对出铁沟浇注料流动值,抗折、耐压强度,体积密度,显气孔率,抗渣性,抗氧化性,抗热震性等性能的影响,以此来确定合理的配方,为实际应用提供一定的指导。
科学性、先进性及独特之处
- 在所研究的镁铝尖晶石加入量范围内,随着镁铝尖晶石含量的增加,Al2O3-MgAl2O4-SiC-C质铁沟浇注料的流动性变差。镁铝尖晶石加入量的多少对Al2O3-MgAl2O4-SiC-C质铁沟浇注料线变化率,体积密度和显气孔率的影响不是太明显,表现出非常好的体积稳定性。综合考虑各种因素,当镁铝尖晶石加入量为9%时,Al2O3-MgAl2O4-SiC-C质铁沟浇注料的物理性能和抗渣性能最好。
应用价值和现实意义
- 耐火材料是为高温技术服务的重要基础行业,与钢铁工业的关系尤为密切。高温工业尤其是钢铁冶炼技术的发展,促进了耐火材料工业的技术进步。耐火材料的技术进步又保证了高温工业新技术的实施[1]。耐火材料的每一次重大变化都紧跟钢铁工业发展过程中新工艺或新产品出现而发生的,而这些新产品应用到钢铁工业中又推动了钢铁工业的发展。
学术论文摘要
- 随着高炉冶金技术的发展,各种高炉为提高产量采取多种措施强化冶炼工艺,导致出铁沟耐火材料的工作环境日趋恶化,对Al2O3-SiC-C质出铁沟浇注料的使用性能提出了更高的要求。本文以板状刚玉、SiC、SiO2微粉、Alphabond300(ρ-A1203)、金属Si粉和球状沥青为主要原料,研究了镁铝尖晶石粉的加入量对Al2O3-SiC-C质出铁沟浇注料各项物理性能及抗渣性能的影响。 实验结果表明:在所研究的镁铝尖晶石加入量范围内,随着镁铝尖晶石含量的增加,Al2O3-MgAl2O4-SiC-C质铁沟浇注料的流动性变差。镁铝尖晶石加入量的多少对Al2O3-MgAl2O4-SiC-C质铁沟浇注料线变化率,体积密度和显气孔率的影响不是太明显,表现出非常好的体积稳定性。综合考虑各种因素,当镁铝尖晶石加入量为9%时,Al2O3-MgAl2O4-SiC-C质铁沟浇注料的物理性能和抗渣性能最好。
获奖情况
- 无
鉴定结果
- 该作品具有很好的实用性和创新型。
参考文献
- [1]钟香崇等. 中国耐火材料工业现状与发展[J]. 硅酸盐通报, 1995,14 (4):75 [2]李庭寿. 中国钢铁工业用耐火材料的技术进展[J]. 耐火材料,2000,34(1):7-8 [3]刘清才,张丙怀. Al2O3-SiC-C 耐火材料在熔融还原熔体中的侵蚀[J]. 耐火材料,1996,30(3):127-132、140 [4]仓田浩辅、河野幸次.溶铣输送用耐火材料的损伤[J]. 耐火物,1992,44(4):205 [5] T. Kageyama, Y. Nogami, M. Kitamura, T. Iida, The deterioration and damage of through castables containing alumina-magnesia spinel due to long-term use, Shinagawa Technical Report 2007 ,(50):31-40 [6]王战民,李再庚. 高炉出铁沟用耐火材料的发展[J]. 耐火材料,1996,30(2):109 [7]郑伟栋,王庆祥. 我国高炉用耐火材料的进展[J]. 耐火材料,2000,34(3):175-177 [8]中国硅酸盐学会. 陶瓷玻璃水泥行业机械设备及耐火材料指南[M]. 中国建材工业出版社,1997,185 [9]张柄根. 不定形耐火材料的发展和应用[J]. 耐火材料, 1997, 31(5):302-304 [10]王玺堂, 齐景娥, 符汉道. Al2O3-SiC-C 质高炉出铁沟自流浇注料的开发及其应用[J]. 钢铁研究, 1999, (2):3-4
同类课题研究水平概述
- 目前,国内外用于高炉出铁沟不定形耐火材料主要为Al2O3-SiC-C质,其它还有莫来石-SiC-C质、Al2O3-C质、镁铝尖晶石质等,所用结合剂也有无机和有机多种类型。 日本几乎所有高炉出铁沟都使用Al2O3-SiC-C质浇注料,但部分小高炉出铁沟仍使用矾土或合成莫来石-SiC-C质捣打料,还有部分高炉出铁沟因局部损坏而全面拆除的不经济而采用热态喷补处理。 2.国内 近年来,随着一大批大、中型高炉在我国的相继建立,出铁沟用耐火材料在国内获得大量、广泛的研究,得到长足的发展,其生产、使用水平接近于世界发达国家。 德国小型高炉出铁沟一般采用含碳化硅的捣打料。大型高炉出铁沟一般采用化学结合Al2O3-SiC-C质捣打料,有时掺加Si3N4以增强抗氧化性和耐侵蚀性。近年来,德国也引进和开发了出铁沟用Al2O3-SiC-C质浇注料和干式振动料。 法国的高炉出铁沟一般也使用Al2O3-SiC-C质浇注料,而后在其基础上又研制出了一种自流浇注料,使主出铁沟工作衬寿命大幅度提高。 美国高炉出铁沟用耐火材料也取得了很大发展,研制出了各种捣打料、干式振动料和浇注料,其中Al2O3-SiC-C质浇注料使用效果最好。主铁沟在使用这种浇注料后,在不修补的情况下,通铁量达15万吨,若按计划修补,通铁量可达40万吨。

